エクストリーム通勤者の割合のコロナ前後比較
では、各都道府県において、コロナ禍前後でエクストリーム通勤者の割合に変化はあったのだろうか。
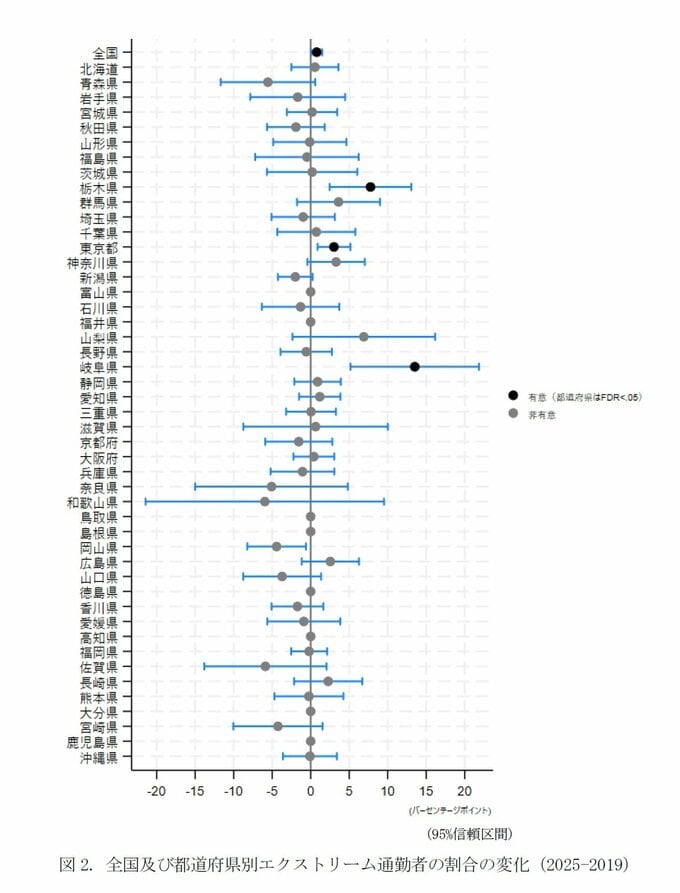
2019年と2025年のエクストリーム通勤者割合の差を都道府県別に見ると、2019年と2025年の間で、全国割合は統計的に有意に上昇したことが確認された。
他にも、都道府県別では、栃木県、東京都、岐阜県で、エクストリーム通勤者が統計的に増加したことが確認できる。
また、2019年から2025年の間の全国割合の経年変化を見ると、2019年から2025年の間の上昇トレンドが確認できた。
加えて、都市圏別に2019年と2025年のエクストリーム通勤者割合のトレンドを確認すると、2019年時点ではエクストリーム通勤者の割合が「東京圏、近畿圏、名古屋圏、北関東、その他」の順に高かったが、その後北関東と名古屋圏の大幅な上昇により、2025年には「東京圏、北関東、名古屋圏、近畿圏、その他」の順となっていた。
都市圏別の上昇トレンドについては、東京圏及び、北関東、名古屋圏で統計的に有意な上昇トレンドが確認された。
さらに、都道府県別でトレンドを確認すると、47都道府県のうち統計的に有意な上昇トレンドが確認されたのは、2019年と2025年の比較でも統計的に有意な差が確認された、栃木県、東京都、岐阜県の3都県であった。
また、統計的に有意な下降トレンドが確認された都道府県は無かった。そこで統計的に有意な上昇トレンドが確認された3都県の2019年から2025年の間のエクストリーム通勤者割合のトレンドみると、東京都では2022年以降、栃木県と岐阜県では2023年以降の上昇傾向が大きい傾向が認められた。



