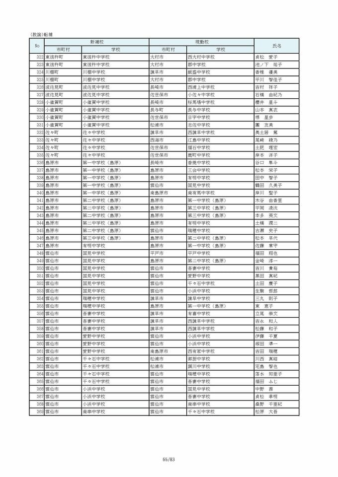
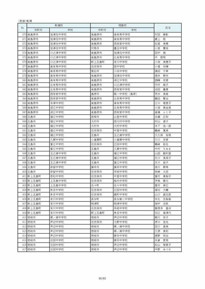
長崎県教職員人事2026 あの先生はどこへ?中学校・義務教育学校(異動・退職・新採用) 全掲載 長崎放送 2026年3月20日(金) 17:00 国内 【教諭・転補】東彼杵町・川棚町・波佐見町・小値賀町・佐々町・島原市・雲仙市エリア(画像) 【教諭・転補】南島原市・五島市・新上五島町・壱岐市・対馬市・研修交流(画像)