エリア設定
ニュース
深掘りDIG
イラン攻撃
LIVE・動画
配信中
天気防災
地域
新着
国内
国際
経済
スポーツ
天気
エンタメ
地震・災害
話題・グルメ
暮らし・マネー
ドキュメンタリー
長崎県教職員人事2026 あの先生はどこへ?小学校(退職・異動・新採用)全掲載
長崎放送
2026年3月20日(金) 17:00
国内
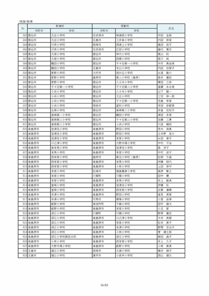
【教諭・転補】雲仙市、南島原市エリア
(画像)
注目の記事
「こんな化け物に負けねえぞ」飯舘村・原発事故から15年 放射能と闘い続けた人々の今【報道特集】
14時間前
4月から始まる自転車「追い抜き」新ルール 十分な距離あけず「一気に追い抜いてしまおう」は摘発の対象となる可能性
14時間前
「競馬で死ぬのは嫌じゃない」金沢競馬で奮闘!富山出身、田知弘久ジョッキー 落馬で首の骨を折る大けが乗り越え復活 新シーズンにかける思い
14時間前
「どうしてこんな言葉が…」“見えない障害”高次脳機能障害 全国22万7000人 家族が語る孤独と現実
2026/03/20
「初めての方でも膝に乗ったり」 日本一の看板ネコ・富士子ちゃん 旅行予約サイトの看板ネコランキングで全国1位に 山梨・アルベルゴ デル オット
2026/03/20
自分の名前も住所も思い出せない…身元不明の男女は“夫婦”か 2人とも“記憶喪失”状態 愛知・岡崎市が情報提供呼びかけ 「生まれは西三河」「長く関東で生活」と話す
2026/03/18
長崎放送
高齢男性はねる「ひき逃げ事件」おこした無職の男(68)を緊急逮捕
42分前
男女の性的場面を盗撮…一審で実刑判決の50代男が控訴 長崎地裁佐世保支部
46分前
【明治安田J1百年構想リーグ】V・ファーレン長崎 ファジアーノ岡山に勝利!2試合ぶりの白星
2時間前
高齢男性はねたあと逃走の「ひき逃げ」 緊急配備解除
2時間前
このエリアの記事へ
トップ
国内
長崎県教職員人事2026 あの先生はどこへ?小学校(退職・異動・新採用)全掲載
19ページ目
カテゴリ
新着
国内
国際
経済
スポーツ
天気
エンタメ
地震・災害
話題・グルメ
暮らし・マネー
ドキュメンタリー