エリア設定
ニュース
深掘りDIG
イラン攻撃
LIVE・動画
配信中
天気防災
地域
新着
国内
国際
経済
スポーツ
天気
エンタメ
地震・災害
話題・グルメ
暮らし・マネー
ドキュメンタリー
長崎県教職員人事2026 あの先生はどこへ?小学校(退職・異動・新採用)全掲載
長崎放送
2026年3月20日(金) 17:00
国内
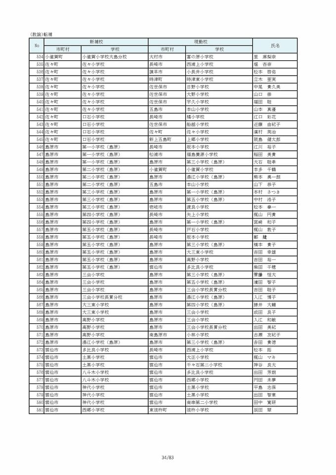
【教諭・転補】佐々町、島原市、雲仙市
(画像)
注目の記事
「こんな化け物に負けねえぞ」飯舘村・原発事故から15年 放射能と闘い続けた人々の今【報道特集】
12時間前
4月から始まる自転車「追い抜き」新ルール 十分な距離あけず「一気に追い抜いてしまおう」は摘発の対象となる可能性
12時間前
「競馬で死ぬのは嫌じゃない」金沢競馬で奮闘!富山出身、田知弘久ジョッキー 落馬で首の骨を折る大けが乗り越え復活 新シーズンにかける思い
13時間前
「どうしてこんな言葉が…」“見えない障害”高次脳機能障害 全国22万7000人 家族が語る孤独と現実
23時間前
「初めての方でも膝に乗ったり」 日本一の看板ネコ・富士子ちゃん 旅行予約サイトの看板ネコランキングで全国1位に 山梨・アルベルゴ デル オット
2026/03/20
自分の名前も住所も思い出せない…身元不明の男女は“夫婦”か 2人とも“記憶喪失”状態 愛知・岡崎市が情報提供呼びかけ 「生まれは西三河」「長く関東で生活」と話す
2026/03/18
長崎放送
【明治安田J1百年構想リーグ】V・ファーレン長崎 ファジアーノ岡山に勝利!2試合ぶりの白星
1時間前
高齢男性はねたあと逃走の「ひき逃げ」 緊急配備解除
1時間前
「酒は抜けていると思った」酒気帯び運転容疑で建設業の男(38)現行犯逮捕
4時間前
「枯れ草を燃やしていたところ 燃え広がっています」長崎市 琴海尾戸町
5時間前
このエリアの記事へ
トップ
国内
長崎県教職員人事2026 あの先生はどこへ?小学校(退職・異動・新採用)全掲載
18ページ目
カテゴリ
新着
国内
国際
経済
スポーツ
天気
エンタメ
地震・災害
話題・グルメ
暮らし・マネー
ドキュメンタリー