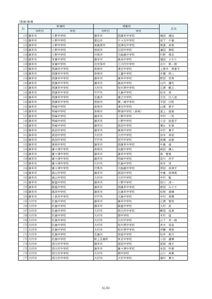
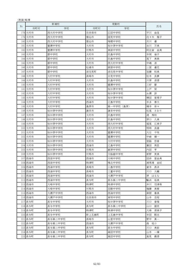
長崎県教職員人事2026 あの先生はどこへ?中学校・義務教育学校(異動・退職・新採用) 全掲載 長崎放送 2026年3月20日(金) 17:00 国内 【教諭・転補】諫早市・大村市・西海市・長与・時津エリア(画像)