エリア設定
ニュース
深掘りDIG
イラン攻撃
LIVE・動画
配信中
天気防災
地域
新着
国内
国際
経済
スポーツ
天気
エンタメ
地震・災害
話題・グルメ
暮らし・マネー
ドキュメンタリー
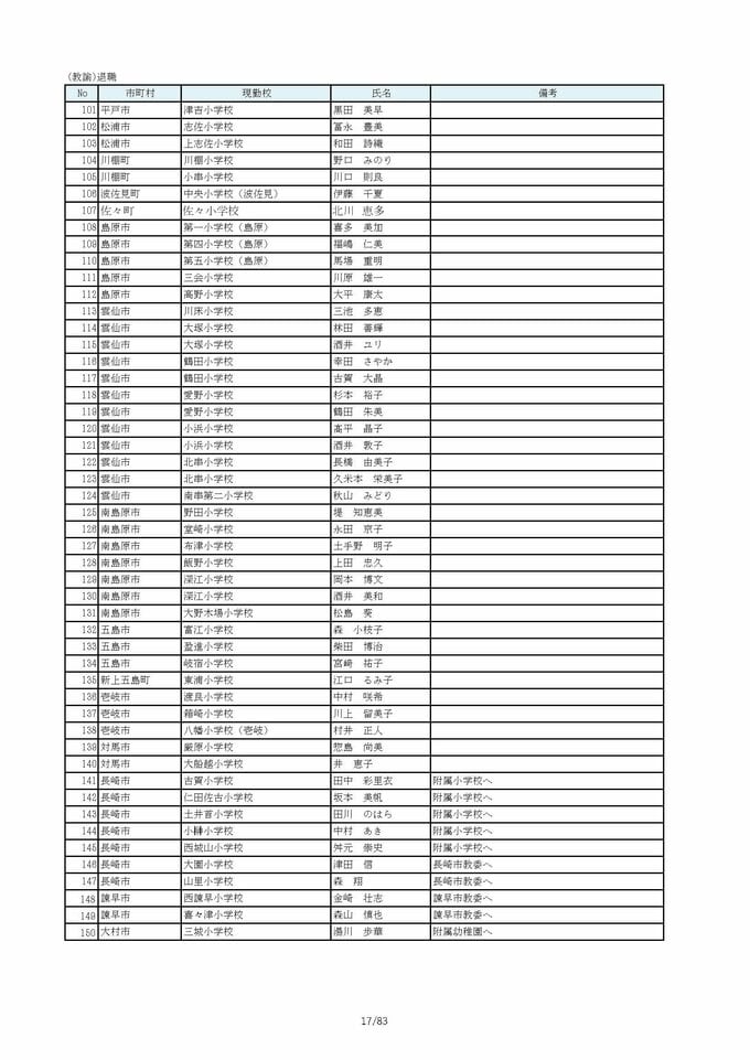
長崎県教職員人事2026 あの先生はどこへ?小学校(退職・異動・新採用)全掲載
長崎放送
2026年3月20日(金) 17:00
国内
【教諭・退職】
(画像)
注目の記事
「どうしてこんな言葉が…」“見えない障害”高次脳機能障害 全国22万7000人 家族が語る孤独と現実
8時間前
智頭急行で「朝採れいちご」の車内販売開始 西粟倉村の木材加工会社がなぜ「イチゴ」を生産・販売?!【岡山・西粟倉村】
9時間前
「初めての方でも膝に乗ったり」 日本一の看板ネコ・富士子ちゃん 旅行予約サイトの看板ネコランキングで全国1位に 山梨・アルベルゴ デル オット
19時間前
自分の名前も住所も思い出せない…身元不明の男女は“夫婦”か 2人とも“記憶喪失”状態 愛知・岡崎市が情報提供呼びかけ 「生まれは西三河」「長く関東で生活」と話す
2026/03/18
クマ出没の画像、本当?嘘?見破れますか?フェイクニュースは“10年で100万倍増”騙されないコツを専門家に聞いた【AI×SNS 防災アップデート】
2026/03/18
「本当は命を失う場所ではなかった」津波にのまれた指定避難所…震災を知らない大学生が被災地で辿る“後悔と教訓”の15年
2026/03/15
長崎放送
【長崎】あす21日(土)は20度予想も さくらの見頃は?
8時間前
過去最多62店舗が集う! "パンマルシェ" アミュプラザ長崎で 22日まで開催
8時間前
"仲間との絆を深めながらタスキをつなぐ” 馬場グループプレゼンツ Spining!第9回5時間リレーマラソン
9時間前
【続報】クーラーボックスを取り戻そうとして海に入り 大波にさらわれたか 釣り人が海に転落 福岡県の男性(62)死亡
10時間前
このエリアの記事へ
トップ
国内
長崎県教職員人事2026 あの先生はどこへ?小学校(退職・異動・新採用)全掲載
9ページ目
カテゴリ
新着
国内
国際
経済
スポーツ
天気
エンタメ
地震・災害
話題・グルメ
暮らし・マネー
ドキュメンタリー