エリア設定
ニュース
深掘りDIG
イラン攻撃
LIVE・動画
配信中
天気防災
地域
新着
国内
国際
経済
スポーツ
天気
エンタメ
地震・災害
話題・グルメ
暮らし・マネー
ドキュメンタリー
長崎県教職員人事2026 あの先生はどこへ?小学校(退職・異動・新採用)全掲載
長崎放送
2026年3月20日(金) 17:00
国内
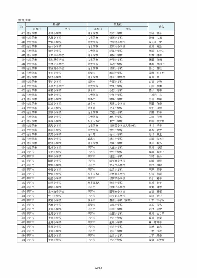
【教諭・転補】平戸市エリア
(画像)
注目の記事
「競馬で死ぬのは嫌じゃない」金沢競馬で奮闘!富山出身、田知弘久ジョッキー 落馬で首の骨を折る大けが乗り越え復活 新シーズンにかける思い
9時間前
「どうしてこんな言葉が…」“見えない障害”高次脳機能障害 全国22万7000人 家族が語る孤独と現実
20時間前
智頭急行で「朝採れいちご」の車内販売開始 西粟倉村の木材加工会社がなぜ「イチゴ」を生産・販売?!【岡山・西粟倉村】
20時間前
「初めての方でも膝に乗ったり」 日本一の看板ネコ・富士子ちゃん 旅行予約サイトの看板ネコランキングで全国1位に 山梨・アルベルゴ デル オット
2026/03/20
自分の名前も住所も思い出せない…身元不明の男女は“夫婦”か 2人とも“記憶喪失”状態 愛知・岡崎市が情報提供呼びかけ 「生まれは西三河」「長く関東で生活」と話す
2026/03/18
クマ出没の画像、本当?嘘?見破れますか?フェイクニュースは“10年で100万倍増”騙されないコツを専門家に聞いた【AI×SNS 防災アップデート】
2026/03/18
長崎放送
「酒は抜けていると思った」酒気帯び運転容疑で建設業の男(38)現行犯逮捕
1時間前
「枯れ草を燃やしていたところ 燃え広がっています」長崎市 琴海尾戸町
1時間前
【速報】高齢男性はねられる「ひき逃げ」発生 警察が緊急配備 逃走車の車種など捜査中
2時間前
【速報】ひき逃げ 高齢男性とみられる歩行者がはねられる
3時間前
このエリアの記事へ
トップ
国内
長崎県教職員人事2026 あの先生はどこへ?小学校(退職・異動・新採用)全掲載
16ページ目
カテゴリ
新着
国内
国際
経済
スポーツ
天気
エンタメ
地震・災害
話題・グルメ
暮らし・マネー
ドキュメンタリー