エリア設定
ニュース
深掘りDIG
イラン攻撃
LIVE・動画
配信中
天気防災
地域
新着
国内
国際
経済
スポーツ
天気
エンタメ
地震・災害
話題・グルメ
暮らし・マネー
ドキュメンタリー
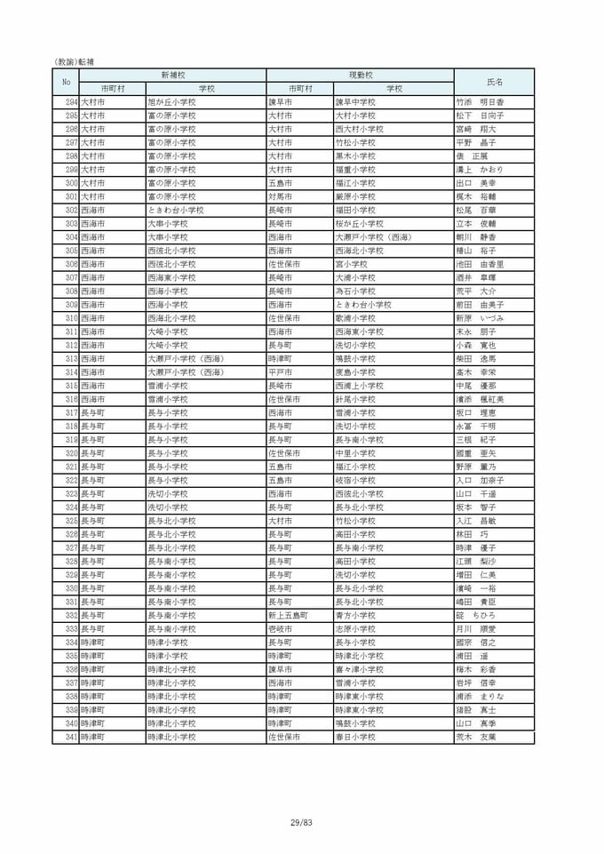
長崎県教職員人事2026 あの先生はどこへ?小学校(退職・異動・新採用)全掲載
長崎放送
2026年3月20日(金) 17:00
国内
【教諭・転補】西海市、長与町、時津町
(画像)
注目の記事
「どうしてこんな言葉が…」“見えない障害”高次脳機能障害 全国22万7000人 家族が語る孤独と現実
17時間前
智頭急行で「朝採れいちご」の車内販売開始 西粟倉村の木材加工会社がなぜ「イチゴ」を生産・販売?!【岡山・西粟倉村】
17時間前
「初めての方でも膝に乗ったり」 日本一の看板ネコ・富士子ちゃん 旅行予約サイトの看板ネコランキングで全国1位に 山梨・アルベルゴ デル オット
2026/03/20
自分の名前も住所も思い出せない…身元不明の男女は“夫婦”か 2人とも“記憶喪失”状態 愛知・岡崎市が情報提供呼びかけ 「生まれは西三河」「長く関東で生活」と話す
2026/03/18
クマ出没の画像、本当?嘘?見破れますか?フェイクニュースは“10年で100万倍増”騙されないコツを専門家に聞いた【AI×SNS 防災アップデート】
2026/03/18
「本当は命を失う場所ではなかった」津波にのまれた指定避難所…震災を知らない大学生が被災地で辿る“後悔と教訓”の15年
2026/03/15
長崎放送
【速報】ひき逃げ 高齢男性とみられる歩行者がはねられる
8分前
「来てみろ、ぶっ殺してやるぞ」包丁を示し 兄と姉を脅迫 新聞配達員の男(56)緊急逮捕
25分前
「裏切られてもまた雇った」刑務所からの雇用 人手不足の物流業界 希望と裏切りの中で続く本音の模索
40分前
きょう21日の晴天から一転…あす22日は西から天気下り坂 週明けは広く雨で「落雷・突風」に 雨風シミュレーション
4時間前
このエリアの記事へ
トップ
国内
長崎県教職員人事2026 あの先生はどこへ?小学校(退職・異動・新採用)全掲載
14ページ目
カテゴリ
新着
国内
国際
経済
スポーツ
天気
エンタメ
地震・災害
話題・グルメ
暮らし・マネー
ドキュメンタリー