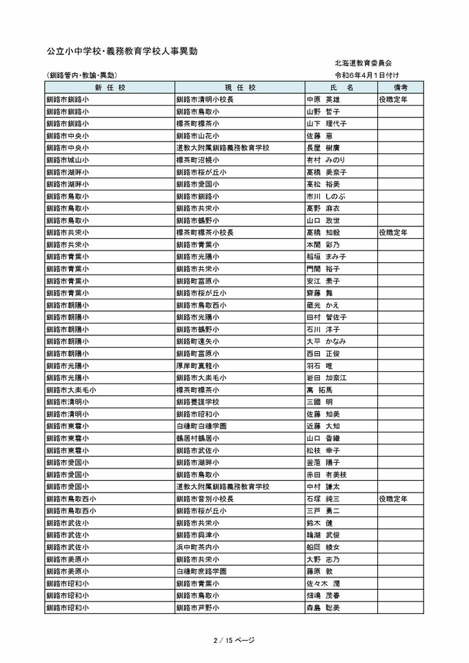
北海道教職員 人事異動2024「あの先生はどこへ?」~小学・中学など異動教職員 全名簿(25日発表分) 北海道放送 2024年3月25日(月) 00:00 国内 【釧路管内 公立小・中・義務教育学校(教員・事務職員・栄養教諭ほか)】 【根室管内 公立小・中・義務教育学校(教員・事務職員・栄養教諭ほか)】
終了迫る「3Gガラケー」そのままにしておくと自動解約→電話番号消失に あなたや家族は大丈夫? 携帯料金の支払いグループ、ファミリー割引…家族のスマホ回線に影響する可能性も【サービス終了まで1か月】 2026/02/28
”頭部に強い衝撃”生後11か月の娘の死から8年 裁判で無罪を訴えた母親(29)「病気を持っていたせいで命を奪ったと思いたくなかった」 母親の暴行の有無が争点 判決は3月3日【裁判詳報・前編】 2026/02/28