MENU
TOP
ニュース
アナウンス室
番組情報
天気・防災
ライブカメラ
イベント
ショッピング
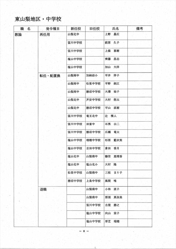
あの先生はどこへ? 2024 山梨県教職員人事異動情報 【公立小中学校 異動全名簿掲載】
2024年3月25日(月) 17:00
国内
東山梨地区 (小学校)
東山梨地区 (中学校)
山梨のニュース | UTYテレビ山梨
国内
あの先生はどこへ? 2024 山梨県教職員人事異動情報 【公立小中学校 異動全名簿掲載】
2ページ目
全国のトップニュース
【独自】「事件当日まで普通のバイトだと…」栃木・上三川町の強盗殺人 少年の一部が供述 竹前容疑者夫婦が少年らとアプリで通話しながら犯行指示か
8時間前
高市総理 今国会初の党首討論 中東情勢受けた補正予算案編成の“判断の遅れ”など野党が追及
8時間前
中ロ首脳会談 共同声明に「日本の右派勢力が挑発的な行動」と明記 日本をけん制
3時間前
「トッポギ分けたら即解散」物価高・韓国の節約術は「知らない人と買い物へ」 持ち寄った容器にきっちり分割 1ウォン単位で割り勘も
8時間前
ファミマのロゴが白黒に?陳列棚から消えゆく「彩り」 中東情勢受けたナフサ高騰で容器変更、バラ売りも
7時間前
与論町で震度5強の地震 けが人の情報なし 鹿児島気象台「1週間程度、同程度の地震に注意」
10時間前
【速報】三重・津市の山林火災は午後6時過ぎに“鎮圧” 消火活動が必要なくなる“鎮火”はめど立たず 火や煙がないか24時間現場で確認
7時間前
【お手柄中学生】警報機が鳴る踏切内で立ち往生した高齢女性の車が...陸上部の5人が“とっさの判断”と“連携プレー”で救出「みんながいたから自分も勇気が持てた」【岡山】
9時間前
全国のニューストップへ
カテゴリ
新着
国内
国際
経済
スポーツ
天気
エンタメ
地震・災害
話題・グルメ
暮らし・マネー
ドキュメンタリー