小学校(教諭)新採
小学校の新採用となった教諭は、以下の通りです(敬称略)。
<小学校 教諭 新採>
香登小 宜野座隆右
伊部小 阿賀想
伊部小 荒川文雄
片上小 疋田彩乃
日生西小 小倉詩門
日生東小 栗本莉衣
吉永小 丸本乙葉
邑久小 豊福彩月
行幸小 島添浩輔
山陽小 市川美公
山陽小 尾田寛子
山陽北小 井藤友紀
山陽北小 乙倉宏彰
豊田小 島田実奈
磐梨小 正部智也
桜が丘小 神崎海音
倉敷東小 石川敬人
倉敷東小 本田舞
倉敷西小 森脇愛梨
老松小 玄馬由季子
老松小 進藤萌々香
老松小 中島大智
万寿小 金井瑞
万寿小 小山歩
万寿東小 宮崎雄大
大高小 上野由佳
大高小 三宅海凪
葦高小 大賀美結
葦高小 和氣路子
倉敷南小 貝原佐奈
倉敷南小 大王丸優斗
中洲小 谷口祐磨
中洲小 谷本麻由子
中洲小 橋本希海
中島小 入江寛志
中島小 小池愛
中島小 堀川柚希
粒江小 陰山良太
中庄小 梶谷佳希
中庄小 白神綾花
中庄小 平野燈
帯江小 井田朱音
帯江小 江尻直鴻
菅生小 小林夢
菅生小 前田卓人
豊洲小 寺岡優作
庄小 秋山理子
庄小 岡本美理
庄小 土田芹香
茶屋町小 井上実紀
茶屋町小 土居颯汰
茶屋町小 二木毬伽
西阿知小 上野愛海
西阿知小 川田桃子
西阿知小 野間裕史
西阿知小 萩原真弓
西阿知小 宮脇日毬
第一福田小 長谷川千夏
第二福田小 河原志帆
第二福田小 宮崎彩音
第四福田小 浅沼瑞樹
第四福田小 本房哲哉
連島東小 小西希実
連島南小 井上心寧
連島南小 植松奏貴
連島南小 清水知佳子
天城小 中西健登
赤崎小 光本周平
琴浦東小 橋本紗裕理
琴浦南小 阿部さくら
郷内小 金尾幸治
郷内小 島田慶太
郷内小 武鈴彩
玉島小 福田智大
上成小 高木萌
長尾小 倉脇悠真
長尾小 萩原凪彩
富田小 中川幹太
富田小 松橋由恵
船穂小 郷原未来
船穂小 小玉凌大
箭田小 山下大貴
笠岡小 中務彩乃
中央小 田原南美
中央小 遠山弥惟
城見小 唐川知大
大井小 松浦創志
吉田小 藤岡咲希
大江小 金谷真子
西江原小 岡本拓己
井原小 三宅由希子
出部小 佐藤美織
芳井小 田中伶意
美星小 國次優里
美星小 徳山敬倫
総社小 大川哲
総社小 谷口雅恵
総社小 湊早希
総社中央小 種田裕斗
総社中央小 野崎淳子
常盤小 宇野紗彩
常盤小 北角共生
総社東小 田中伶亜
総社東小 仁宮悠登
秦小 田中茜
山手小 橋本ののか
山手小 山本夏希
清音小 大成伶奈
清音小 森葵唯
思誠小 河内拓己
上市小 小谷優奈
西方小 石原咲穂
刑部小 西村允秀
本郷小 新地優歌
新見南小 難波茜
金光小 武部美香
金光小 三宅克治
鴨方東小 中野太智
鴨方西小 黒田真優
六条院小 竹正早希
六条院小 中島あみ
六条院小 広地陽菜
東小 内田聡希
西小 水島麻菜美
南小 黒瀬美咲
北小 赤堀将希
北小 谷口ひかる
林田小 平田凌
鶴山小 湯栗愛
弥生小 伊禮章人
弥生小 早瀬殊莉
向陽小 長瀬洋子
佐良山小 島田亜希子
佐良山小 滝本昭佳
一宮小 本山綾奈
高田小 下山晴花
高野小 西山直希
高野小 丸山晶
河辺小 内田羽
大崎小 井上亜美
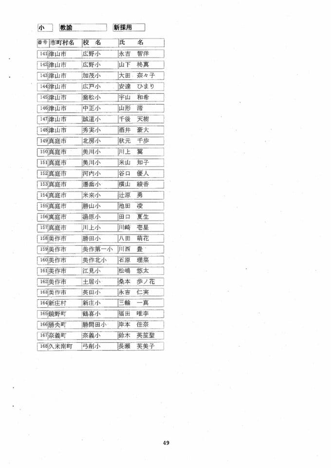
広野小 永吉智洋
広野小 山下柊真
加茂小 大田奈々子
広戸小 安達ひまり
喬松小 宇山和希
中正小 山形渚
誠道小 千後天樹
秀実小 酒井豪大
北房小 秋元千歩
美川小 川上翼
美川小 米山知子
河内小 谷口優人
遷喬小 横山綾香
米来小 辻原勇
勝山小 池田凌
湯原小 田口夏生
川上小 川崎壱星
勝田小 八田萌花
美作第一小 川西豊
美作北小 石原理菜
江見小 松嶋悠太
土居小 桑本歩ノ花
英田小 永吉仁実
新庄小 三輪一真
鶴喜小 福田唯李
勝間田小 岸本佳奈
奈義小 鈴木英笙聖
弓削小 長瀬芙美子










