MENU
TOP
ニュース
アナウンス室
番組情報
お天気
ライブカメラ
イベント
ショッピング
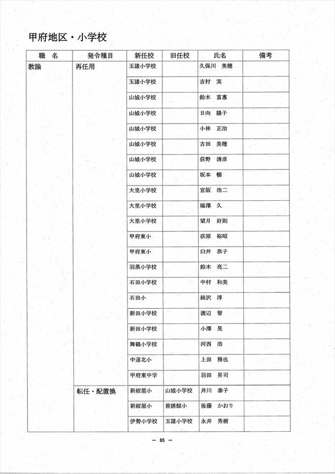
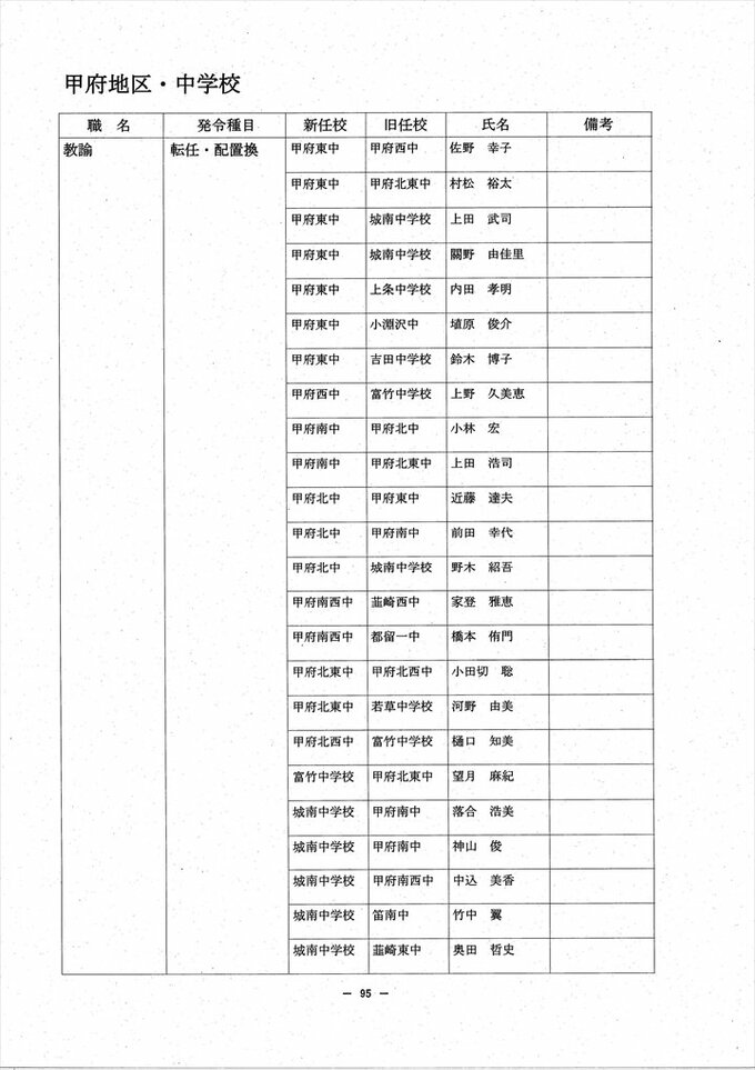
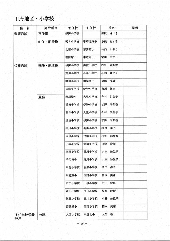
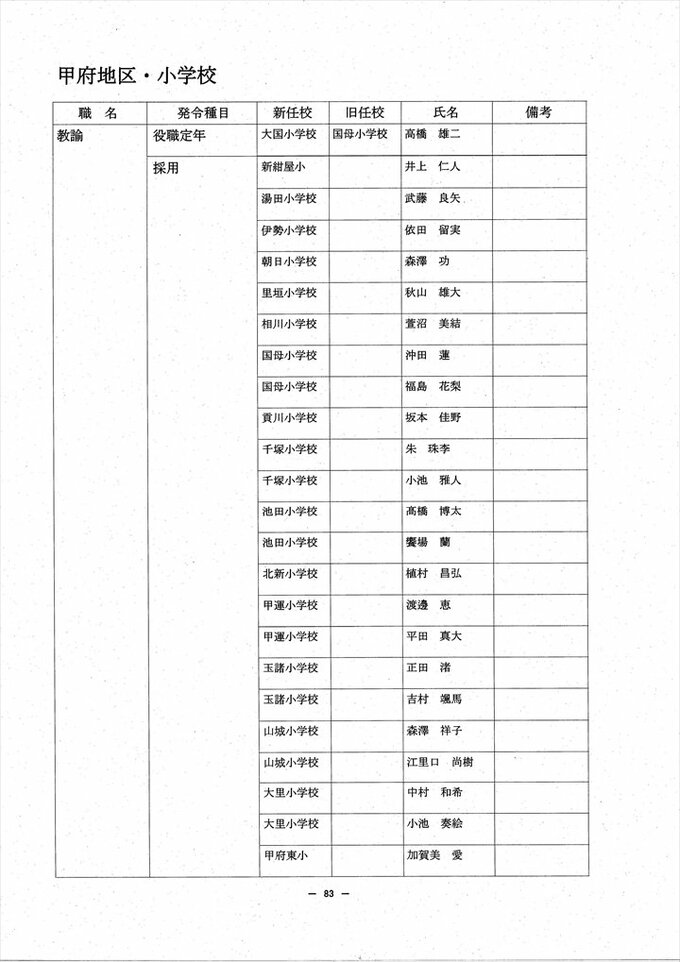
あの先生はどこへ? 2024 山梨県教職員人事異動情報 【公立小中学校 異動全名簿掲載】
2024年3月25日(月) 17:00
国内
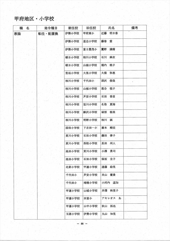
甲府地区 (小学校)
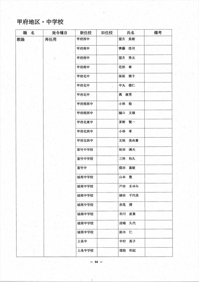
甲府地区 (中学校)
以上
山梨のニュース | UTYテレビ山梨
国内
あの先生はどこへ? 2024 山梨県教職員人事異動情報 【公立小中学校 異動全名簿掲載】
9ページ目
全国のトップニュース
【速報】約8兆6000億円の暫定予算案が与野党の賛成多数で衆院通過
1時間前
【速報】ペルシャ湾待機の日本人船員4人が下船 健康状態は「問題ない」 中東情勢受け“実質的ホルムズ海峡封鎖”後初めて
3時間前
池袋“ポケセン”女性店員刺殺事件 元交際相手の広川大起容疑者の自宅に家宅捜索 去年12月ストーカー規制法違反疑いで逮捕の際は被害者の写真削除を頑なに拒否
2時間前
“戦闘停止に向け近く合意できる可能性”イランとの交渉めぐりトランプ大統領 停戦条件めぐる米イランの立場に大きな隔たりも
2時間前
【速報】「現時点で取り違えの相手を特定できていない」68年前の新生児取り違え問題で東京都が調査結果公表 都側は引き続き対応続ける方針
3時間前
【速報】日経平均 一時2800円以上値下がり 5万1000円台を割り込む 世界経済のさらなる混乱への不安、原油供給への再懸念も
4時間前
速報【4歳女児タイヤ直撃】娘はいまも意識不明…両親らが3億円超の損害賠償求めて提訴 不正改造車の運転手、所有者、保険会社を相手に《札幌地裁》事故車両は任意保険に加入せず
3時間前
ロシアの石油タンカーがキューバ入港へ アメリカ当局が「許可」 ニューヨーク・タイムズ報道
5時間前
全国のニューストップへ
カテゴリ
新着
国内
国際
経済
スポーツ
天気
エンタメ
地震・災害
話題・グルメ
暮らし・マネー
ドキュメンタリー